library(here)
library(tidymodels)
library(tidyverse)Lasso Regression
Lasso regression is a statistical model that combines linear/logistic regression with L1 regularization to perform both variable selection and regularization. The term “Lasso” stands for “Least Absolute Shrinkage and Selection Operator.” This method is particularly useful when dealing with datasets that have many predictors, as it helps to: - Reduce overfitting by penalizing large coefficients - Perform automatic feature selection by shrinking some coefficients to exactly zero - Handle multicollinearity by selecting only one variable from a group of highly correlated predictors
In this analysis, we’ll use Lasso regression to predict weapon carrying behavior in schools, demonstrating how this method can help identify the most important predictors while maintaining model interpretability.
Setting Up the Environment
First, we need to load the necessary packages for our analysis. We’ll use tidymodels for modeling, tidyverse for data manipulation, and here for consistent file paths.
Loading the Data
We’ll work with pre-processed data sets that have been split into training and test sets, along with cross-validation folds. These files are stored in the processed_data directory.
analysis_data <- readRDS(here("models", "data", "analysis_data.rds"))
analysis_train <- readRDS(here("models", "data", "analysis_train.rds"))
analysis_test <- readRDS(here("models","data", "analysis_test.rds"))
analysis_folds <- readRDS(here("models", "data", "analysis_folds.rds"))Data Preprocessing
Before fitting our model, we need to preprocess the data. We’ll create a recipe that: - Imputes missing values in categorical variables using the mode - Imputes missing values in numeric variables using the mean - Removes predictors with zero variance - Removes highly correlated predictors (correlation threshold = 0.7) - Creates dummy variables for categorical predictors
weapon_carry_recipe <-
recipe(formula = WeaponCarryingSchool ~ ., data = analysis_train) |>
step_impute_mode(all_nominal_predictors()) |>
step_impute_mean(all_numeric_predictors()) |>
step_zv(all_predictors()) |>
step_corr(all_numeric_predictors(), threshold = 0.7) %>%
step_dummy(all_nominal_predictors())
weapon_carry_recipe
── Recipe ──────────────────────────────────────────────────────────────────────
── Inputs
Number of variables by role
outcome: 1
predictor: 10
── Operations
• Mode imputation for: all_nominal_predictors()
• Mean imputation for: all_numeric_predictors()
• Zero variance filter on: all_predictors()
• Correlation filter on: all_numeric_predictors()
• Dummy variables from: all_nominal_predictors()
Let’s apply our recipe to transform the data according to these preprocessing steps.
weapon_carry_recipe %>%
prep() %>%
bake(new_data = analysis_data) # A tibble: 19,595 × 11
WeaponCarryingSchool AttackedInNeighborhood_X1 Bullying_X1
<fct> <dbl> <dbl>
1 0 0 0
2 0 0 1
3 0 0 0
4 0 0 0
5 0 0 0
6 0 1 0
7 0 0 0
8 0 0 0
9 0 0 0
10 0 0 0
# ℹ 19,585 more rows
# ℹ 8 more variables: SexualAbuseByOlderPerson_X1 <dbl>,
# ParentalPhysicalAbuse_X1 <dbl>, ParentSubstanceUse_X1 <dbl>,
# ParentIncarceration_X1 <dbl>, SchoolConnectedness_X1 <dbl>,
# ParentalMonitoring_X1 <dbl>, UnfairDisciplineAtSchool_X1 <dbl>,
# Homelessness_X1 <dbl>
Model Specification
We’ll use a logistic regression model with Lasso regularization. The Lasso (Least Absolute Shrinkage and Selection Operator) helps with feature selection by penalizing the absolute size of coefficients. We set mixture = 1 to specify a pure Lasso model, and we’ll tune the penalty parameter to find the optimal level of regularization.
weapon_carry_spec <-
logistic_reg(penalty = tune(),
mixture = 1) |>
set_engine('glmnet')
weapon_carry_specLogistic Regression Model Specification (classification)
Main Arguments:
penalty = tune()
mixture = 1
Computational engine: glmnet
Creating the Workflow
We’ll combine our recipe and model specification into a single workflow. This ensures that all preprocessing steps are properly applied during both training and prediction.
weapon_carry_workflow <-
workflow() |>
add_recipe(weapon_carry_recipe) |>
add_model(weapon_carry_spec)
weapon_carry_workflow══ Workflow ════════════════════════════════════════════════════════════════════
Preprocessor: Recipe
Model: logistic_reg()
── Preprocessor ────────────────────────────────────────────────────────────────
5 Recipe Steps
• step_impute_mode()
• step_impute_mean()
• step_zv()
• step_corr()
• step_dummy()
── Model ───────────────────────────────────────────────────────────────────────
Logistic Regression Model Specification (classification)
Main Arguments:
penalty = tune()
mixture = 1
Computational engine: glmnet
Model Tuning
To find the optimal penalty value, we’ll create a grid of potential values to test. We’ll use 50 different penalty values, evenly spaced on a logarithmic scale.
lambda_grid <- grid_regular(penalty(), levels = 50)
lambda_grid# A tibble: 50 × 1
penalty
<dbl>
1 1 e-10
2 1.60e-10
3 2.56e-10
4 4.09e-10
5 6.55e-10
6 1.05e- 9
7 1.68e- 9
8 2.68e- 9
9 4.29e- 9
10 6.87e- 9
# ℹ 40 more rows
Now, we’ll perform cross-validation to find the best penalty value. This process is time-consuming, so we’ll save the results for future use.
set.seed(2023)
lasso_tune <-
tune_grid(
object = weapon_carry_workflow,
resamples = analysis_folds,
grid = lambda_grid,
control = control_resamples(event_level = "second")
)Let’s examine the performance metrics for different penalty values.
lasso_tune %>%
collect_metrics()# A tibble: 150 × 7
penalty .metric .estimator mean n std_err .config
<dbl> <chr> <chr> <dbl> <int> <dbl> <chr>
1 1 e-10 accuracy binary 0.957 5 0.00158 Preprocessor1_Model01
2 1 e-10 brier_class binary 0.881 5 0.00160 Preprocessor1_Model01
3 1 e-10 roc_auc binary 0.688 5 0.00742 Preprocessor1_Model01
4 1.60e-10 accuracy binary 0.957 5 0.00158 Preprocessor1_Model02
5 1.60e-10 brier_class binary 0.881 5 0.00160 Preprocessor1_Model02
6 1.60e-10 roc_auc binary 0.688 5 0.00742 Preprocessor1_Model02
7 2.56e-10 accuracy binary 0.957 5 0.00158 Preprocessor1_Model03
8 2.56e-10 brier_class binary 0.881 5 0.00160 Preprocessor1_Model03
9 2.56e-10 roc_auc binary 0.688 5 0.00742 Preprocessor1_Model03
10 4.09e-10 accuracy binary 0.957 5 0.00158 Preprocessor1_Model04
# ℹ 140 more rows
We can visualize how the model’s performance changes with different penalty values.
autoplot(lasso_tune)
Selecting the Best Model
We’ll select the best model based on the ROC AUC metric, which measures the model’s ability to distinguish between classes.
best <- lasso_tune |>
select_best(metric ="roc_auc")
best# A tibble: 1 × 2
penalty .config
<dbl> <chr>
1 0.000339 Preprocessor1_Model33
Now we’ll create our final workflow with the best penalty value.
final_wf <- finalize_workflow(weapon_carry_workflow, best)
final_wf══ Workflow ════════════════════════════════════════════════════════════════════
Preprocessor: Recipe
Model: logistic_reg()
── Preprocessor ────────────────────────────────────────────────────────────────
5 Recipe Steps
• step_impute_mode()
• step_impute_mean()
• step_zv()
• step_corr()
• step_dummy()
── Model ───────────────────────────────────────────────────────────────────────
Logistic Regression Model Specification (classification)
Main Arguments:
penalty = 0.000339322177189533
mixture = 1
Computational engine: glmnet
Fitting the Final Model
We’ll fit our final model on the training data. This process is also time-consuming, so we’ll save the results.
weapon_fit <-
fit(final_wf, data = analysis_train)
weapon_fitModel Evaluation
Let’s examine the model’s predictions on the training data.
weapon_pred <-
augment(weapon_fit, analysis_train) |>
select(WeaponCarryingSchool, .pred_class, .pred_1, .pred_0)
weapon_pred# A tibble: 14,696 × 4
WeaponCarryingSchool .pred_class .pred_1 .pred_0
<fct> <fct> <dbl> <dbl>
1 0 0 0.0368 0.963
2 0 0 0.0410 0.959
3 0 0 0.0253 0.975
4 0 0 0.0325 0.968
5 0 0 0.125 0.875
6 0 0 0.0368 0.963
7 0 0 0.0208 0.979
8 0 0 0.0208 0.979
9 0 0 0.0458 0.954
10 0 0 0.0529 0.947
# ℹ 14,686 more rows
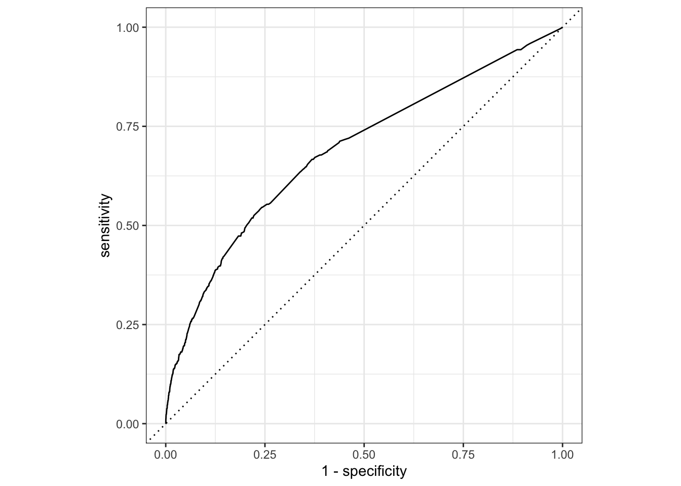
We can visualize the model’s performance using an ROC curve.
roc_plot_training <-
weapon_pred |>
roc_curve(truth = WeaponCarryingSchool, .pred_1, event_level = "second") |>
autoplot()
roc_plot_training 
Let’s look at the model coefficients to understand which predictors are most important.
weapon_fit |>
extract_fit_parsnip() |>
tidy()
Attaching package: 'Matrix'
The following objects are masked from 'package:tidyr':
expand, pack, unpack
Loaded glmnet 4.1-8
# A tibble: 11 × 3
term estimate penalty
<chr> <dbl> <dbl>
1 (Intercept) -3.29 0.000339
2 AttackedInNeighborhood_X1 0.739 0.000339
3 Bullying_X1 0.472 0.000339
4 SexualAbuseByOlderPerson_X1 0.455 0.000339
5 ParentalPhysicalAbuse_X1 0.708 0.000339
6 ParentSubstanceUse_X1 -0.132 0.000339
7 ParentIncarceration_X1 0.0271 0.000339
8 SchoolConnectedness_X1 -0.226 0.000339
9 ParentalMonitoring_X1 0.584 0.000339
10 UnfairDisciplineAtSchool_X1 -0.229 0.000339
11 Homelessness_X1 1.17 0.000339
Cross-Validation Results
We’ll fit the model on each cross-validation fold to get a more robust estimate of its performance.
weapon_fit_resamples <-
fit_resamples(final_wf, resamples = analysis_folds)
weapon_fit_resamplesLet’s examine the cross-validation metrics.
collect_metrics(weapon_fit_resamples)# A tibble: 3 × 6
.metric .estimator mean n std_err .config
<chr> <chr> <dbl> <int> <dbl> <chr>
1 accuracy binary 0.957 5 0.00158 Preprocessor1_Model1
2 brier_class binary 0.0399 5 0.00128 Preprocessor1_Model1
3 roc_auc binary 0.688 5 0.00737 Preprocessor1_Model1
Variable Importance
Finally, let’s create a variable importance plot to identify the most influential predictors in our model.
library(vip)
Attaching package: 'vip'
The following object is masked from 'package:utils':
vi
weapon_fit |>
extract_fit_engine() |>
vip() 
Results and Interpretation
[Add your interpretation of the results here]